De k0 allant à n. Somme des inverses des k parmi n.

Coefficients Binomiaux Pdf Telechargement Gratuit
Ninmathbb N n N on pose.
Somme de k parmi n. Cest aussi le nombre de façons de choisir k éléments dun ensemble à n éléments si les répétitions sont permises nombre de combinaisons avec répétition. Pour k n on pose n k 0. Voici les 5 premières configurations.
Une question est de calculer la somme des kk. La somme des carrés de deux nombres consécutifs peut être un nombre premier pour les 1000 premiers nombres il y 225 premiers. 18 septembre 2015 à 194155.
Pour trouver seulement 1 il suffit de diviser par 2. Somme 0n ou 1n cest kifkif dans ce cas donc on a somme 1n kn k. Pour des entiers 0 6 k 6 n on note n k et on prononce kparmi n le nombre de manières de choisir un sous-ensemble à k éléments dun ensemble à n éléments différents.
Xn km xk xn1 xm x 1 xm xnm1 1 x 1. En simplifiant les résultats et en créant une suite jai. Vous ne devez pas poster ici de questions sur les macros mais utiliser la section éponyme.
C pour tous kn N tels que k 6 n 1 n k n k 1 n 1 k 1 formule du triangledePascal. Il est clair que dans la définition précédente n k ne dépend pas de lensemble à néléments différents considéré. Topic Somme de 2k parmi n.
Cette section est uniquement dédiée au tableur Calc. S_Nsum N_k0binom n - 1k Edité 1 fois. K k parmi n autre question.
N-k on simplifie k avec k. Jentends que pour chaque 1xn sera transformé par la formule du binôme en somme de k0 à n de k parmi n multiplié par xk On aura donc un produit de ces deux sommes et donc si je ne me trompe pas on ne peut pas les regrouper en une seule somme simplement par la suite si. On a enlevé k0.
N k sont encore appelés coefficients binomiaux. Le générateur permet de choisir les valeurs de k k et n n et génère les listes de combinaisons posssibles correspondantes avec des chiffres ou des lettres ou encore une liste personnalisée. Somme de tous les produis de k parmi n.
Le nombre de suites de n entiers naturels dont la somme vaut k est égale à. Surtout que dans certains forums ils disent que la sommation est facile. Le coefficient binomial binomnk est le nombre de possibilités de choisir k élément dans un ensemble de n éléments.
En Latex on doit utiliser la fonction binom comme suit. A pourtouskn N telsquek 6 n n nk n k. Je sais que je dois trouver n1-1.
Calculer la somme avec k allant de 0 à n de. Somme de k parmi n2 à laide de PX X12n Ici tu nas que des sommes finies. Bonsoir Veuillez maider SVP.
Xn km xk n km 1 nm1. S n k 0 n 1 n k S_ ndisplaystylesum_ k0 ndfrac 1 binom n k S n. La dernire correction date de il y a deux annes et a t.
Calculer la somme avec k allant de 0 à n de. Le nombre de suites de n entiers naturels dont la somme vaut k est égale à Dun point de vue plus intuitif ce nombre permet de savoir combien de tirages de k éléments parmi n différents on peut réaliser. Dans le cas contraire.
12 13 14 23 24 34 La génération est limitée à 2000 résultats. Sommes de k carrés de nombres consécutifs k 2 2n² 2n 1. Il ny a aucune question de convergence et le produit de Cauchy nest quun regroupement de terme astucieux.
Ils vérifient les pro-priétéssuivantes. Cependant je narrive pas a savoir comment calculer la somme des k1-k. On a 4 2.
Les questions sur les macros doivent être postées dans la section dédiée en dessous. Somme des k k parmi n Cet article présente la démonstration de. Oui en fait mon but est de montrer que telle loi est une loi de proba.
Pour calculer n k pour de petites valeurs de k et n on peut utiliser le triangle de Pascal. 2² 3² 1. Jai noté que kkk1-k.
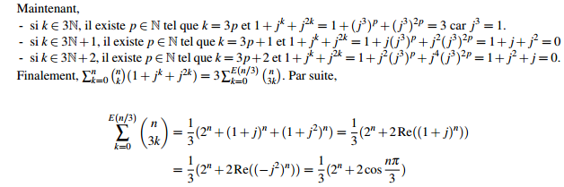
Oral Centrale Mp Pour tout. Somme de k parmi n. Somme de 2k parmi n.
1k1 k parmi n Merci. Théorème Formule a n b Pour tous n N et ab C. Cacul de somme k parmi n 04-10-09 à 2128 1-1k est nul lorsque k est impair et vaut 2 lorsque k est pair.
La somme des k fois k parmi n n fois 2 puissance n moins 1. B n 0 n n 1 n 1 n n1 n n 2 n n2 nn1 2. Nouveau sujet Liste des sujets.
An bn a b Xn1 k0 akbnk1 a b an1 an2ban3b2 abn2 bn1 Š. 1² 2² 5. 2 parmi 4 donne.
En langage mathématique on dirait que le coefficients binomial que lon prononce k parmi n ou combinaison de k parmi n donne donc le nombre de parties de k éléments dans un ensemble total de n éléments avec k n ce qui revient à dire que le coefficient binomial est le nombre de chemins conduisant à k succès. X 1 Xn km xk Xn km xk1 xk xn1 xm donc.
Formule De Vandermonde Formule Du Pion Et Denombrement Math 15 Minutes
Somme De Coefficients Binomiaux Forum Mathematiques 590912

Demonstration Somme Des K Parmi N Keskec
Sommation Exercices Sommation De Combinaisons Wikiversite
Coefficient Binomial Wikipedia
Somme Telescopique Et Sommes De Factorielles Math 15 Minutes
Somme Telescopique Et Sommes De Factorielles Math 15 Minutes
Somme Telescopique Et Sommes De Factorielles Math 15 Minutes
ads
Tutorax
Search This Blog
Blog Archive
- janvier 2023 (4)
- mai 2022 (26)
- avril 2022 (16)
- mars 2022 (22)
- février 2022 (21)
- janvier 2022 (22)
- décembre 2021 (24)
- novembre 2021 (26)
- octobre 2021 (30)
- septembre 2021 (31)
- août 2021 (31)
- juillet 2021 (29)
- juin 2021 (31)
- mai 2021 (30)
- avril 2021 (43)
- mars 2021 (30)
- février 2021 (29)
- janvier 2021 (30)
- décembre 2020 (31)
- novembre 2020 (30)
- octobre 2020 (32)
- septembre 2020 (29)
- août 2020 (30)
- juillet 2020 (32)
- juin 2020 (30)
- mai 2020 (31)
- avril 2020 (29)
- mars 2020 (6)
Labels
- 1050a
- 31952
- accessoire
- accompagnement
- accusé
- acheter
- acide
- acteurs
- action
- additionner
- adieu
- adoucir
- adresse
- adulte
- advance
- affaire
- afficher
- after
- agecanonix
- agence
- aimer
- alcool
- alexandra
- alfred
- algorithme
- aller
- alles
- allumer
- amande
- amazon
- amitié
- analyse
- animé
- anneaux
- année
- années
- anniversaire
- anouilh
- appelle
- apprivoiser
- apres
- arabe
- arccos
- ariane
- arriere
- artichaut
- ascendant
- assistir
- asticots
- atebas
- aubry
- auchan
- auteuil
- authentique
- automatique
- autoradio
- autres
- avale
- avoir
- azerty
- bagheera
- baleares
- balle
- ballon
- bambin
- bambous
- banane
- bancaires
- barre
- basse
- baudet
- belier
- bélier
- belles
- berger
- beton
- betteraves
- beurre
- biliaire
- biographie
- biscuits
- bisous
- black
- blanc
- blocks
- boeuf
- boite
- bombardement
- bonheur
- bonjour
- bonne
- bouchées
- bouchon
- bouchons
- boulanger
- boule
- bourguignon
- bourre
- boutons
- bouturer
- brahim
- brain
- brancher
- breton
- briquet
- broche
- broché
- bruit
- bucco
- buddy
- cabillaud
- cacao
- cadenas
- cadre
- caisse
- calamar
- calcul
- calculer
- calorie
- camarade
- camel
- canal
- canalsat
- canard
- capsule
- caracteristique
- caractéristique
- caramel
- carnet
- carre
- carré
- carrelage
- carte
- cassé
- casser
- catholic
- cerfeuil
- cerisier
- cette
- chambre
- champagne
- changer
- changing
- chanson
- chant
- chaque
- charge
- chaton
- chaussette
- cheat
- chelem
- chemise
- cheval
- cheveux
- chien
- chiens
- chiffre
- chimique
- chlorhydrique
- chocolat
- choisi
- chrome
- cidre
- cigue
- ciment
- citron
- clannad
- classe
- clavier
- climatiseur
- coaster
- cochon
- codes
- coeur
- colle
- coller
- combien
- command
- commandes
- commencant
- commencer
- comment
- commentaires
- communication
- communiquer
- comparaison
- compétences
- complet
- composition
- comprend
- compte
- concurrents
- conduire
- conduite
- confit
- confiture
- congelées
- conjecturer
- conquer
- conservation
- conserver
- contre
- controle
- convertir
- coordonnées
- copine
- coquilles
- coran
- corbeau
- corde
- cotés
- côtés
- couchage
- couille
- couleur
- coupés
- courage
- courbe
- courgettes
- courroie
- couvaison
- crapette
- creme
- crépi
- creuse
- croisé
- cuisson
- cuivre
- dacheter
- dangereuse
- daniel
- danimaux
- dappartement
- dassin
- deacon
- death
- deathcharger
- déboucher
- débrider
- débuter
- deces
- définie
- définition
- défragmenter
- défroisser
- degré
- delai
- délevage
- demander
- demeler
- démonter
- démontrer
- dencodage
- déplacer
- depuis
- dérivé
- désactiver
- descargots
- desinscrire
- destale
- destin
- détoile
- detude
- deutschland
- devisser
- dhuile
- diable
- difference
- différence
- dijon
- dinde
- dinvitation
- discretement
- disparu
- disque
- divergente
- doigts
- donction
- donne
- donner
- dorange
- dordinateur
- doreille
- dosgood
- download
- drapeau
- dreaming
- driver
- driving
- droit
- durci
- duree
- durée
- earth
- ecaille
- éclair
- ecole
- économie
- ecouter
- écrire
- ecriture
- eiffel
- electronique
- eleve
- éloigner
- emilie
- empecher
- empire
- emplacement
- enceinte
- endives
- engine
- enlever
- enregistrement
- enterrement
- entonnoir
- entre
- entretien
- envers
- envie
- epaissir
- epargne
- episode
- epitaph
- epson
- equipe
- erreur
- error
- escape
- espagne
- espagnol
- essuie
- estranho
- etymologie
- evacuation
- excel
- expansive
- explosion
- expression
- externe
- eyeshield
- fabian
- fable
- faience
- faire
- famille
- fantasy
- fated
- felicidad
- femelle
- femme
- femmes
- fenetre
- fermeture
- feuille
- fiancee
- fibre
- fichier
- fiction
- fiesta
- filaire
- fish
- fisher
- fiston
- fleurit
- fleurs
- flirt
- florence
- fonctionne
- fonte
- foresti
- forestier
- format
- forme
- former
- formule
- forte
- fraiche
- francais
- français
- francaise
- france
- frere
- frigo
- froid
- fusible
- gachette
- galette
- ganja
- garcons
- garde
- garder
- gardiens
- garniture
- garonne
- garrys
- gastro
- gateau
- gémeaux
- généalogique
- genoux
- gentil
- géométrique
- germé
- gésiers
- gigot
- gitane
- glace
- glaces
- glissant
- gloire
- gmail
- going
- goodbye
- goudron
- graines
- grand
- grandfather
- grandin
- graph
- graphique
- gratuit
- griffin
- grillé
- guérir
- guevara
- hamilton
- handball
- hareng
- hauteur
- heartgold
- heures
- hexagone
- hitchcock
- homme
- honneur
- huile
- hunter
- husky
- ignorer
- image
- impossible
- imprimante
- inconvénients
- indice
- induction
- inferieure
- injecteur
- install
- installation
- insuffisant
- insulter
- intérieur
- internet
- interrogation
- ironie
- isabelle
- isocele
- isolée
- italien
- jaloux
- jambon
- japonais
- jardin
- jaune
- jaunes
- jeanne
- jespère
- jeter
- joint
- joyeux
- jumelles
- jument
- jusquà
- juste
- justifie
- justifier
- keane
- kebab
- keltec
- kisbee
- lacoste
- ladresse
- laime
- laise
- laisser
- lamour
- langues
- lapin
- larson
- laura
- laurier
- laver
- lèche
- ledermann
- legumes
- lempire
- lendemain
- lentille
- lessivage
- lettre
- levis
- levre
- lextension
- lherbe
- lheure
- lhuile
- liars
- libre
- licence
- ligne
- lignore
- limmigration
- linge
- linspecteur
- litlle
- litre
- littéraire
- livraison
- livre
- loader
- locker
- loeil
- logiciel
- lorsqu
- lucky
- lyrics
- machine
- machoire
- mafia
- maison
- majuscule
- malabar
- maladies
- males
- malgré
- maman
- mandat
- manger
- manuscrite
- mariages
- marié
- marmelade
- maroc
- marque
- marques
- marron
- marseille
- masse
- match
- maupassant
- mauvaise
- maxime
- mayonnaise
- medium
- merci
- meringue
- message
- messenger
- mesure
- métier
- mètre
- mettre
- mexprimer
- micro
- mihawk
- misérable
- mixtape
- modifier
- molla
- monter
- morale
- morue
- moteur
- motivation
- mouches
- moules
- mousse
- mouvement
- moyens
- mundo
- murir
- musique
- musset
- naissance
- nappe
- naruto
- nature
- navons
- nespresso
- nettoyer
- neuilly
- nimprime
- ninja
- noircie
- noircit
- nombre
- noyau
- nuance
- numero
- numéro
- numérotation
- octet
- odeur
- office
- oignon
- ondes
- online
- openoffice
- operation
- optique
- ordinateur
- origine
- orthographe
- oursins
- outlook
- ouvrir
- packard
- pages
- pagination
- palette
- papier
- parallèle
- paranoïa
- parle
- parmi
- paroles
- parquet
- partagé
- partition
- partout
- passe
- pastille
- patience
- pattes
- paupières
- pause
- paysage
- pecher
- peinte
- peinture
- pensent
- percer
- perdu
- péremption
- périmés
- périmètre
- perles
- permis
- perruque
- personne
- personnes
- peser
- petage
- pétanque
- petit
- petite
- phase
- photo
- photos
- phrase
- physique
- piano
- piece
- pierre
- pierres
- piles
- pilote
- pimentée
- pinces
- pingouins
- placebo
- placo
- plafond
- plaise
- plaque
- platine
- playlist
- plein
- pleine
- pleurer
- plier
- poele
- poésie
- poétique
- poids
- point
- points
- pokemon
- poliment
- poltron
- polygone
- polyuréthane
- pomme
- pompon
- poney
- porcher
- portable
- porte
- poser
- positive
- poste
- posté
- poubelle
- poulet
- pourquoi
- pourries
- poussant
- pousse
- precarité
- prechauffage
- préparer
- pression
- pretty
- prière
- priest
- primitive
- principale
- prise
- prisme
- programmes
- promo
- protect
- protege
- psychologie
- publications
- puissant
- punch
- pureté
- quadrilatère
- quand
- quantité
- quelle
- quest
- queue
- queues
- quotidienne
- qwerty
- radiant
- radiateur
- radiohead
- ragréage
- raison
- ramadan
- ramener
- ratatam
- rattrapage
- réaliste
- recette
- recharger
- réchauffer
- reconnaitre
- rectangle
- redemption
- rédiger
- redondance
- redoute
- refroidissement
- refroidit
- regarde
- regle
- regonfler
- régulier
- reins
- remettre
- remontant
- remonte
- remplacer
- renard
- rendre
- rentrer
- répond
- réponse
- reservoir
- reset
- résistance
- respire
- ressemble
- rétablir
- retomber
- retour
- rétrécir
- rever
- revoir
- ricard
- rideau
- rognons
- romain
- rosier
- rougecouleur
- rouges
- rouler
- ryanair
- sabler
- saboter
- sabrer
- saint
- saito
- salaire
- sallume
- salto
- salut
- samsung
- sangria
- sappelle
- sauvegarder
- savoir
- savoyardes
- scénarii
- scénarios
- scenic
- schlatter
- scooter
- scotch
- season
- seconde
- secours
- secrets
- seins
- selles
- sensé
- serait
- serie
- série
- servent
- shakira
- shalom
- shift
- shippuden
- shitsuji
- shunter
- siffle
- signification
- silence
- silencieux
- silicone
- sincères
- singes
- sinstaller
- sirc3a8nes
- skidrow
- slogan
- smell
- soignante
- solex
- solution
- sommier
- sommiers
- souche
- soufflet
- soupçon
- speed
- spirits
- sport
- stand
- steam
- story
- stream
- sucre
- suivre
- supprimer
- surlignage
- tache
- taches
- taille
- tampon
- telecharger
- télécharger
- telecommande
- téléphone
- tembrasse
- temps
- tenvoie
- terrain
- terre
- tester
- timbre
- tissu
- tomate
- tonnes
- torrent
- tortue
- touch
- touche
- toucher
- toujours
- tourment
- tournedos
- tourniquette
- tourteaux
- toute
- toutes
- trace
- tracer
- trade
- traduction
- tranche
- transférer
- transformer
- transparent
- travers
- tréma
- trépasse
- trompe
- trompette
- trous
- trouve
- trouver
- tsukaima
- twingo
- tycoon
- tyrael
- underground
- uniquement
- univers
- updater
- urique
- vaisselle
- valeur
- vegas
- velux
- verre
- verrouillé
- verseau
- vertu
- vésicule
- vetement
- viande
- vidange
- video
- vider
- vierge
- vieux
- villeret
- vinaigrette
- vista
- vitesse
- vivre
- voile
- voiture
- volant
- volley
- votre
- voyage
- voyant
- watch
- whisky
- windows
- world
- yokio
- youtube
- zitrone
- zymaduo
-
The ponytailed grappler performed in the golden age of wrestling when many millions would tune in for bouts on Saturday afternoons. Tropez F...
-
Malodorant - insultant mauvais repoussant Similaire fragrant odorant Ant odeur senteur Hyper malodorant - pestilentiel puant - rance Dérivé ...
-
Caractéristiques générales de la plante des feuilles et des fleurs. Anthriscus cerefolium Apiacées annuelle Présentation. La Cigue Plante ...